Матричные вычисления в Mathcad


d7c8102a

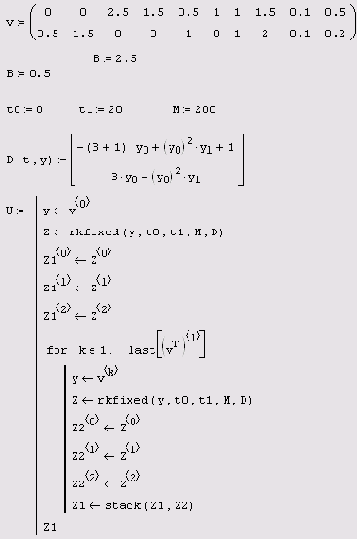
Построение фазового портрета для модели брюсселятора



Листинг 9.16. Построение фазового портрета для модели брюсселятора




Построение фазового портрета для модели брюсселятора

Предложенный алгоритм формирует из отдельных матриц решений системы ОДУ с разными начальными условиями объединенную матрицу U. Пары начальных условий задаются в первой строке листинга в виде матрицы v размера 2х10. Последнее означает построение десяти траекторий. Для того чтобы поменять количество траекторий, измените соответствующим образом размер этой матрицы. Затем (Рисунок 9.24) элементы матрицы и выводятся на график в виде отдельных точек. Отсутствие соединения точек линиями является недостатком алгоритма, но это плата за возможность представить в Mathcad несложным образом сразу большое количество траекторий на фазовой плоскости.



Содержание раздела