Решение волнового уравнения при помощи функции numol
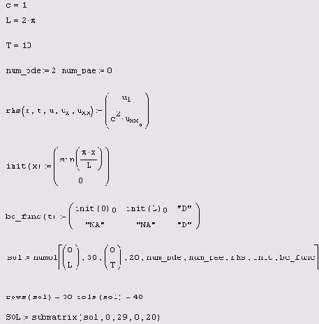
Листинг 11.6. Решение волнового уравнения при помощи функции numol

Как вы видите, функция numol имеет еще большее число аргументов, нежели pdesolve, и позволяет автоматизировать применение метода сеток. Однако пользоваться ею намного сложнее, чем вычислительным блоком, поскольку и уравнения, и начальные и граничные условия должны быть записаны в специальном формате. Применение функции numol оправданно, когда необходимо включить решение уравнений в частных производных в более сложные вычисления в качестве подпрограммы, организовать серию расчетов с меняющимся параметром, подготовить анимацию графиков решения и т. п.